光纤的单、多模式与应用浅析

一、单模与多模光纤的区别


1. 什么是模式
      你可以简单地将“模式”理解为光在光纤中传播的不同路径。单模光纤只允许光沿着一条中心路径(基模)传输;而多模光纤的芯径较粗,光可以以多种不同的角度和路径向前传播。
       从出光形态上就可以看出:单模光纤因为只存在单一路径传播,其传输过程是遵循特定规律的,因此出光面截面能量为按高斯分布。而多模光纤因为存在多种模式,其传播路径非常多,每一种路径都代表一种能量分布形态,在出光面相互叠加就形成了无规律的散斑效果,整体的分布类似扁平的高斯,存在锯齿状波动。
图1 单模光纤能量分布,规则高斯
图2 多模光纤能量分布,不规则,存在明显散斑
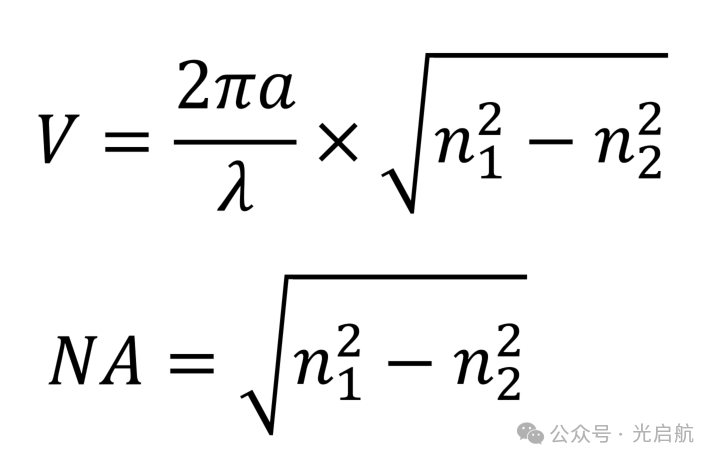
2. 从归一化频率上区分
      从理论上定义,首先得认识一下归一化频率V值,可以从V值的数值大小上判断特定波长在某一确定光纤中是否满足单模传输条件,其临界值为2.405。


  • 单模:V≤2.405;
  • 多模:V≥2.405


其中:


  • a:光纤纤芯直径
  • λ:光的波长
  • n1:纤芯的折射率
  • n2:包层的折射率


      公式中NA即为光纤的数值孔径,也可表示为NA=sin(θ),表征光纤能够接受最大θ角度的入射光在光纤中传播。
3. 从纤芯直径上分辨:
单模光纤:纤芯直径≤20um,常见范围为2-14 um;
多模光纤:纤芯直径≥50 um,常见范围为50-400 um;
4. 从出光形态上分辨:
单模光纤出光:规律的高斯能量分布
多模光纤出光:充满散斑的光斑形态或者较为均匀的能量分布
二、从单模和多模的特征中提取出的一些认知规律
1. 单模光纤的工作波长有限,而多模光纤的工作波长却非常宽,在使用单模光纤时注意波长范围,否则会变成多模输出;
2. 高功率一般选用多模光纤,因为多模芯径更大,能量密度相对更低,能传输更高功率激光;
3. 单模光纤出射光束横截面为规律的高斯分布,多模光纤为混乱的类高斯分布;
4. 单模光纤纤芯小、发散角较小,准直聚焦后光斑小;多模光纤纤芯大、发散角较大,准直聚焦后光斑大。
三、模式对应用的影响与选择
1. 光纤通讯
2. 激光加工
①能量差异(加工能力)
      在光纤激光加工中,加工材料越厚、吸收率越低需要的激光能量越高,同时加工速度越快,要求的激光能量也越高。光纤传输光束的部位为纤芯,在同等能量下,纤芯越小,传输的能量密度越高。而光纤材料一般为石英,有一定的损伤阈值,当能量密度过高时便会烧毁光纤。因此为了满足大功率(千瓦级、万瓦级)加工应用,一般需要使用大芯径纤芯光纤,而根据归一化频率V的计算公式可知,纤芯越大V值越大,那么基本上只能是多模传输。
      因此高功率激光较为粗糙的加工一般用的都是多模光纤:切光切割、激光焊接、激光清洗、激光加热等,效率也更高。
      目前单模激光器最高在3kW,也有推出6kW和8kW,M2较大,暂未在应用端普及应用。而多模激光器已经突破了220kW(锐科激光)。
②聚焦光斑尺寸差异(加工精细程度)
      单模光纤纤芯小,发散角小,M2小,聚焦光斑小。(模式越多,M2越大)
      多模光纤纤芯大,发散角大,M2,大聚焦光斑大。
图片
      以金属3D打印行业应用为例,在最近最火的iphone手机、智能手表等3C消费品行业,对打印的成型质量要求很高,粗糙度要求在≤Ra3um。而光斑越大,打印精度越差、粗糙度越差,无法满足消费类应用要求,需要复杂的后处理工艺。因此使用的激光器基本上都在M2≤1.1以内,越接近基模M2=1,精细度、粗糙度越好。
      光斑就像刻刀,光斑越小越能加工出精细的产品。
③ DOE光束整形应用(精密加工应用,后续单开一篇详解)
      在一些特殊的加工应用领域,为了追求更高的加工质量和加工效率,希望能够将圆形的光斑转换成方形、矩形或其他形状的光斑,同时要求内部能量分布是均匀的,这样能保证整个加工面积内质量效果的一致性。
图片
图片
图4 基模高斯光束经DOE整形样式与效果图(来源网络)
       DOE作为衍射光学器件,可以对光场进行精密的调控(类似函数映射关系)将高斯光斑转换成各种形状的光斑,但因为其严格的转换条件,要求入射光束必须严格符合高斯分布,才能给DOE一个符合一定规律的输入光场(能够计算),越接近M2=1基模,效果越好。而多模因为分布混乱,无法计算,不能经过DOE进行精确整形。
四、总结
1. 光纤的模式及光的传输路径,单模即一种传输路径,多模则是多种传输路径。模式越少、传输路径越少,光束越纯粹、越规则。
2. 单模芯径小,聚焦光斑小,适合小功率,高精度加工;多模芯径大,聚焦光斑大。适合高功率,高效率和厚材加工。
3. 单模输出光斑符合高斯分布,规则,能够使用DOE进行光场调控,整形成各种形状样式进行多功能加工。而多模能量分布混乱,不规则,不行。
4. 通信领域,单模无模式色散,适合长距离、超长距离传输信号。多模存在模式色散,只适合短距离传输。普通通信单模光纤比多模便宜(量巨大,像sfm-28e零售都是几毛钱一米)



免责声明:文章转载自网络,仅供行业学习交流之用,侵删


Copyright © 2012-2023 福津光电 all Rights Reserved.  粤ICP备15090501号-1   站点地图  
微信客服
微信客服

扫一扫,咨询微信客服

咨询反馈
手机官网

手机官网

返回顶部