首次曝光,揭秘华为激光雷达!

华为最近展出了针对自动驾驶的一系列传感器,包括双目摄像头、毫米波雷达和激光雷达。这次我们首先解密华为的激光雷达,下次是双目摄像头。

图片


华为的保密工作一向是业内最好的,因此别指望有太多公开资料,因此突破口还是选在专利上。2020年7月2日,世界知识产权组织国际局公布了华为的一项有关激光雷达的专利,发明名称为一种激光雷达测量模组和激光雷达。这是华为激光雷达领域覆盖面最广的专利,长达52页,大多数中文发明专利不超过20页。华为专利申请详细说明了激光雷达的原理和构造。很有可能就是华为这款激光雷达2.0的详细介绍。



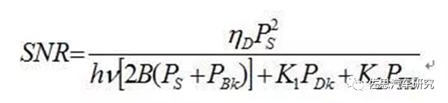
在解密华为激光雷达前先了解一下激光雷达信噪比的概念,任何传感器,最重要的参数就是信噪比,非相干激光雷达的信噪比SNR方程可以表示为:

图片
图片

从上面公式可以看出,要提高信噪比,最简单有效的方法是提高接收信号光功率和量子效率。激光雷达按光学扫描器目前可以分为三大类,一类是旋转型机械激光雷达,包括360度旋转和反射镜往复的Scala,是目前最常见最成熟的激光雷达。第二类是MEMS激光雷达。第三类是Flash激光雷达,Flash激光雷达实际是2D/3D焦平面(FPA)摄像机,也就是手机和平板领域大量使用的ToF相机,两者完全一样,只是有效距离差很多。Flash激光雷达全半导体构成,与目前传统摄像头几乎没有差别,因此前途远大,但近期内落地较难,因为目前VCSEL的效率和指向性,让Flash激光雷达有效距离和分辨率都不及前两类,顺便要说一下,前两类激光雷达输出的是点云,Flash激光雷达输出的是3D图像,当然也可以输出点云。目前高性能Flash激光雷达主要是IBEO和OUSTER。都对Beam做了调整,不是单一Beam而是Multi-Beam。
 
MEMS是目前最快落地的方案,和机械激光雷达相比,其优势有三,首先MEMS微振镜帮助激光雷达摆脱了笨重的马达、多棱镜等机械运动装置,毫米级尺寸的微振镜大大减少了激光雷达的尺寸,提高了可靠性。

图片
英飞凌收购的Innoluce MEMS激光雷达示意图

其次是成本,MEMS微振镜的引入可以减少激光器和探测器数量,极大地降低成本。传统的机械式激光雷达要实现多少线束,就需要多少组发射模块与接收模块。而采用二维MEMS微振镜,仅需要一束激光光源,通过一面MEMS微振镜来反射激光器的光束,两者采用微秒级的频率协同工作,通过探测器接收后达到对目标物体进行3D扫描的目的。与多组发射/接收芯片组的机械式激光雷达结构相比,MEMS激光雷达对激光器和探测器的数量需求明显减少。从成本角度分析,N线机械式激光雷达需要N组IC芯片组:跨阻放大器(TIA)、低噪声放大器(LNA)、比较器(Comparator)、模数转换器(ADC)等。如果采用进口的激光器(典型的如Excelitas的LD)和探测器(典型的如滨松的PD),1K数量下每线激光雷达的成本大约200美元,国产如常用的长春光机所激光器价格能低一些。MEMS理论上可以做到其1/16的成本。
 
最后是分辨率,MEMS振镜可以精确控制偏转角度,而不像机械激光雷达那样只能调整马达转速。像Velodyne的Velarray每秒单次回波点达200万个,而Velodyne的128线激光雷达也不过240万个,Velarray几乎相当于106线机械激光雷达。
 
那么MEMS的缺点是什么?缺点就是信噪比和有效距离及FOV太窄。因为MEMS只用一组发射激光和接收装置,那么信号光功率必定远低于机械激光雷达。同时 MEMS激光雷达接收端的收光孔径非常小,远低于机械激光雷达,而光接收峰值功率与接收器孔径面积成正比。导致功率进一步下降。这就意味着信噪比的降低,同时也意味着有效距离的缩短。扫描系统分辨率由镜面尺寸与最大偏转角度的乘积共同决定,镜面尺寸与偏转角度是矛盾的,镜面尺寸越大,偏转角度就越小。而镜面尺寸越大,分辨率就越高。最后MEMS振镜的成本和尺寸也是正比,目前MEMS振镜最大尺寸是Mirrorcle,可达7.5毫米,售价高达1199美元。速腾投资的希景科技开发的MEMS微振镜镜面直径为5mm,已经进入量产阶段;禾赛科技的PandarGT 3.0中用到的MEMS微振镜则是由自研团队提供。
 
解决办法主要有两种,一是使用1550纳米发射波长的激光器,用光纤领域的掺铒放大器进一步提升功率,1550 nm波段的激光,其人眼安全阈值远高于905nm激光。因此在安全范围内可以大幅度提高1550 nm光纤激光器的激光功率。典型例子就是沃尔沃和丰田投资的Luminar。缺点是1550纳米激光器价格极其昂贵,且这是激光器产业的范畴,激光雷达厂家的技术远不及激光器产业厂家,想压低成本几乎不可能,还有一个缺点是1550纳米对阳光比较敏感。不过1550纳米附加一个优点就是像毫米波雷达一样全天候。二是使用SPAD或SiPM接收阵列,而不是传统APD阵列,SPAD阵列效率比APD高大约10万倍,典型例子是丰田中央研究院。但SPAD阵列目前还不算特别成熟,价格也略高。
 
华为要想快速切入激光雷达领域,自然也是选择MEMS激光雷达,不过针对功率过低的缺点,华为做了改进,也就是华为专利所说的,多线程微振镜激光测量模组。

图片

华为采用机械激光雷达的做法,采用多个发射和接收组件,而不是传统MEMS激光雷达那样只有一个,因为华为在光电领域产业庞大,规模效应突出,采购激光发射器和接收器的成本远比传统激光雷达要低。

图片
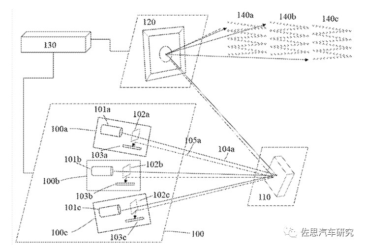
华为激光雷达光路图

图中画出了三个测距模组,分别是100a、100b、100c,每个模组包括三个元件,分别是激光发射器101B,分光镜102a,接收器103a。104a为出射光束,110为反射镜,105a为回波光束,120为MEMS振镜,微振镜二维扫描摆动,实现光束140a(源自104a)的扫描。130为处理电路。100a、100b、100c结构完全一致,分时发射激光束。华为的等效100线,当然也不是100个测距模组,那样增加成本太多了,毕竟MEMS振镜的垂直扫描密度要好控制的多。

图片
华为激光雷达立体结构图1

图片
华为激光雷达立体结构2

图片


华为激光雷达立体结构3

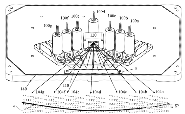
110反射镜的出现,让华为激光雷达更紧凑,更加方便线路板布线。同时以120MEMS振镜为核心,两边对称放置测距模组。结构更加简洁。160和170为连接线缆,180为透光外壳窗口。
 
华为这种设计,当然成本和体积肯定比传统MEMS激光雷达大多了,但性能也增加了,特别是有效距离和FOV,通常激光雷达厂家在说明有效距离时不会加上反射率,一般默认为90%,这样数字会好看很多,而华为特别点明反射率10%,反射率10%的情况下,即使短距离激光雷达都可达80米,传统MEMS激光雷达通常只有一半即40米。功率的增加让MEMS振镜尺寸可以缩小,FOV就可以大一点,华为激光雷达的FOV也是业内最大的。振镜越小,价格也越低。华为这种模块式布局,可以快速出产多种用途的激光雷达,适应不同的市场需求。
 
最有希望的Flash激光雷达,相信华为也有布局,不过Flash激光雷达的关键不在于激光雷达厂家,而是ToF传感器厂家,这些领域都是巨头,索尼、OV、ST、东芝、松下、安森美、英飞凌等。未来可能像摄像头一样,这些巨头提供传感器,激光雷达厂家做成模组,但这个过程可能长达8-10年。这期间三种激光雷达可能长期共存。


免责声明:文章转载自网络,仅供行业学习交流之用,侵删


Copyright © 2012-2023 福津光电 all Rights Reserved.  粤ICP备15090501号-1   站点地图  
微信客服
微信客服

扫一扫,咨询微信客服

咨询反馈
手机官网

手机官网

返回顶部